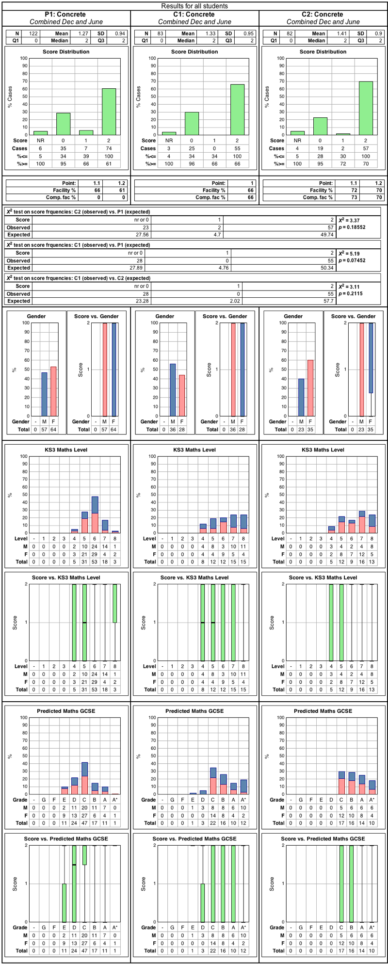
Paper
Computer C1
Computer C2
Statistics - all
Statistics - KS3 4-6