• Paper
  • Computer C1
  • Computer C2
  • Statistics - all
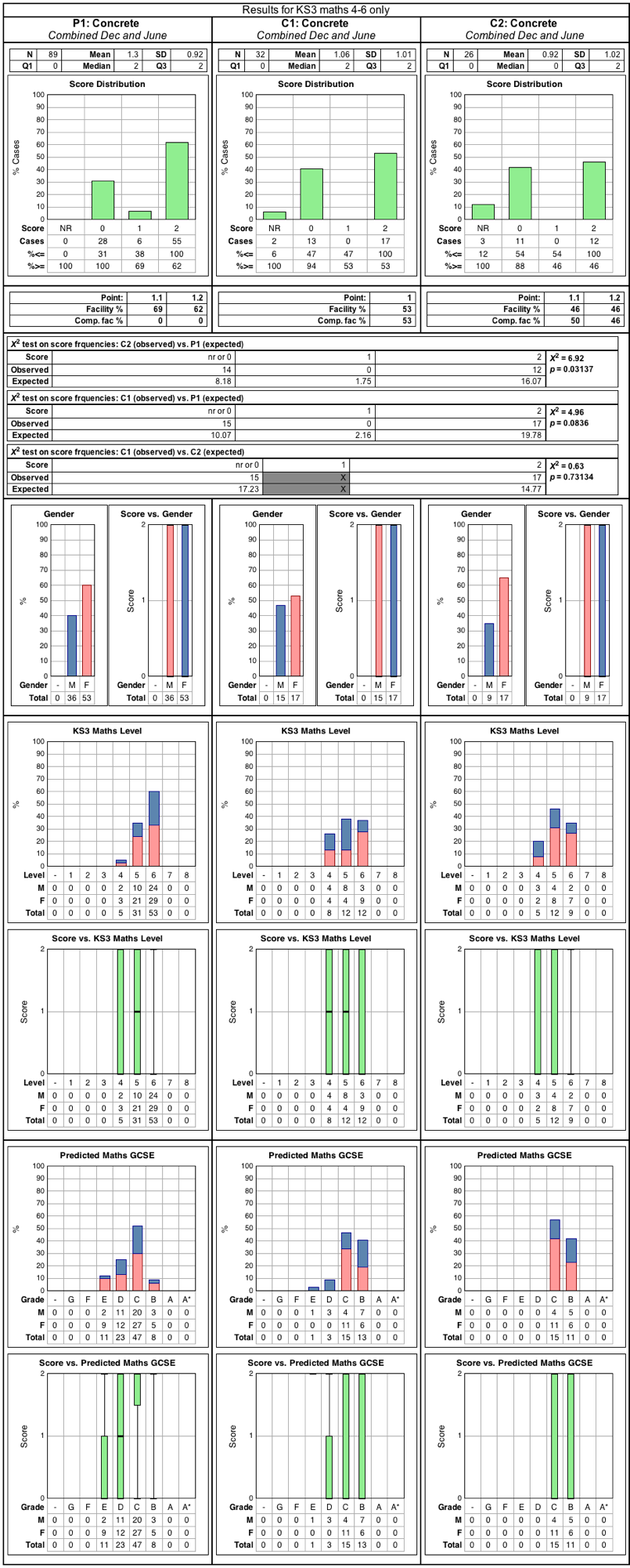
  • Statistics - KS3 4-6